Soal dan Jawaban Belajar dari Rumah di TVRI 29 September 2020 untuk SMP: Pertidaksamaan Linear

Soal dan jawaban Belajar dari Rumah di TVRI untuk SMP, Selasa (29/9/2020) tentang Persamaan dan Pertidaksamaan Linear Satu Variabel.


zoom-inlihat foto
belajar-dari-rumah-di-tvri-untuk-kelas-1-3-sd.jpg
TRIBUNPONTIANAK.CO.ID/ENDRO
ILUSTRASI - soal dan jawaban dari materi pelajaran Belajar dari Rumah di TVRI untuk SMP, Selasa (29/9/2020) tentang Persamaan dan Pertidaksamaan Linear Satu Variabel.


TRIBUNNEWSWIKI.COM - Program Belajar dari Rumah di TVRI untuk SMP yang tayang pada Selasa (29/9/2020) akan membahas materi tentang Persamaan dan Pertidaksamaan Linear Satu Variabel.

Sesuai jadwal, tayangan program Belajar dari rumah di TVRI untuk SMP akan tayang pada pukul 09.30-10.00 WIB.

Nantinya, setelah selesai pemaparan materi dalam setiap segmennya, akan muncul pertanyaan yang harus dijawab oleh siswa-siswa SMP.

Berikut  ini soal dan jawaban dari materi pelajaran Belajar dari Rumah di TVRI untuk SMP, Selasa (29/9/2020) tentang Persamaan dan Pertidaksamaan Linear Satu Variabel:

Soal 1

1. Tentukan nilai x jika 2x - 3 = 7 .

2. Diketahui 2a – 12 = 5a + 9, nilai dari -3a + 8 adalah ….

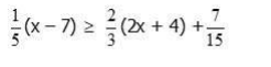
3. Tentukan nilai h jika: 

Soal nomor 3
Soal nomor 3 (kemdikbud.go.id)

Baca: Soal dan Jawaban Belajar dari Rumah di TVRI 29 September, Kelas 4-6 SD: Hewan dan Tumbuhan Langka

Soal 2

1. Diketahui:

soal
soal (kemdikbud.go.id)

Nilai dari 10x + 120 adalah …

2. Tentukan penyelesaian dari:

Soal
Soal (kemdikbud.go.id)

Baca: Jadwal & Link Live Streaming Belajar dari Rumah TVRI, Selasa (29/9/2020), Inspirasi Pengasuhan Anak

Jawaban soal 1

1. tentukan nilai x

2x – 3 = 7

2x = 7 + 3

2x = 10

x = 5

Jadi, x = 5

2. 2a – 12 = 5a + 9





Halaman
1234
BERITATERKAIT
Ikuti kami di
KOMENTAR

ARTIKEL TERKINI

Artikel POPULER

© 2026 tribunnnewswiki.com,a subsidiary of KG Media.
All Right Reserved